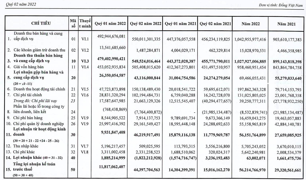
CTCP SAM Holdings (HOSE: SAM)vừa công bố báo cáo tài chính hợp nhất quý 2/2022 với doanh thu đạt 548,52 tỷ đồng, tăng 20,4% so với cùng kỳ. Do giá vốn đã chiếm tới 505,4 tỷ đồng, nên lợi nhuận gộp của SAM chỉ còn hơn 43 tỷ đồng, tăng 77,7% so với cùng kỳ.
Trong kỳ, doanh thu tài chính tăng 151,5% lên 150,14 tỷ đồng. Tuy nhiên, chi phí tài chính cũng tiêu tốn của SAM Holdings hơn 102,19 tỷ đồng, tăng 529,2% so với cùng kỳ. Bên cạnh đó, lãi công ty liên doanh, liên kết ghi nhận âm 7,76 tỷ đồng, cải thiện so với khoản lỗ 21,99 tỷ đồng cùng kỳ năm trước.
Các chi phí bán hàng và quản lý doanh nghiệp tăng 9,2%, tương ứng tăng thêm 3,11 tỷ đồng lên 37,07 tỷ đồng và các hoạt động khác biến động không đáng kể. Kết quả, SAM báo lãi quý 2 đạt 29,09 tỷ đồng, tăng 721,8% so với cùng kỳ.
Xét về hoạt động kinh doanh cốt lõi (lợi nhuận gộp - chi phí tài chính - chi phí bán hàng và quản lý doanh nghiệp), trong quý 2, SAM Holdings ghi nhận âm 96,14 tỷ đồng so với cùng kỳ âm 25,93 tỷ đồng. Nhờ ghi nhận doanh thu hoạt động tài chính tăng đột biến đã kéo lợi nhuận của công ty tăng trưởng mạnh.
Lũy kế trong 6 tháng đầu năm, SAM Holdings ghi nhận doanh thu đạt 1.027,9 tỷ đồng, tăng 14,3% so với cùng kỳ và lợi nhuận sau thuế đạt 35,02 tỷ đồng, tăng 168,8% so với cùng kỳ.
Xét về dòng tiền, trong sáu tháng đầu năm 2022, dòng tiền kinh doanh của công ty tiếp tục âm 221,1 tỷ đồng, trong khi cùng kỳ năm ngoái âm 497,2 tỷ đồng. Ngoài ra, dòng tiền đầu tư dương 534,3 tỷ đồng và dòng tiền tài chính âm 712,4 tỷ đồng.
Đặc biệt, dòng tiền kinh doanh của SAM liên tục âm nặng trong 2 năm gần đây (năm 2020 âm 545 tỷ đồng và năm 2021 âm 1.044 tỷ đồng).
Tính tới 30/6/2022, tổng tài sản của SAM Holdings tăng 19,6% so với đầu năm, tương ứng tăng thêm 1.479,1 tỷ đồng lên 9.023,4 tỷ đồng. Trong đó, tài sản chủ yếu các khoản phải thu dài hạn đạt 3.752,2 tỷ đồng, chiếm 41,6% tổng tài sản.
Các khoản phải thu ngắn hạn bất ngờ tăng 101% so với đầu năm, tương ứng tăng thêm 1.885,5 tỷ đồng lên 3.752,2 tỷ đồng. Trong đó, chủ yếu tăng thêm do trả trước người bán như quỹ đầu tư cơ hội PVI trị giá 411,7 tỷ đồng; quỹ đầu tư hạ tầng PVI trị giá 27 tỷ đồng...
Tính tới cuối quý 2, Công ty ghi nhận danh mục đầu tư chứng khoán là 316,2 tỷ đồng tuy nhiên phải trích lập dự phòng hơn 82 tỷ đồng, bằng gần 26% tổng danh mục đầu tư.
Công ty Cổ phần SAM Holdings tiền thân là Công ty Cổ phần Đầu tư và Phát triển SACOM. Lĩnh vực hoạt động ban đầu của SAM là sản xuất và phân phối các loại cáp cho ngành bưu chính - viễn thông. Đây là mảng kinh doanh chủ lực mang đến khoản lãi đều đặn cho SAM trong thời điểm đó.
SAM Holdings bắt đầu mở rộng kinh doanh đa ngành sang nhiều lĩnh vực khác như đầu tư tài chính, kinh doanh bất động từ năm 2009. Đặc biệt, trong ba mảng bất động sản, công nghiệp và đầu tư tài chính, SAM đặt mảng đầu tư tài chính là trụ cột chính.
Tuy vậy, việc đầu tư dàn trải nhiều lĩnh vực cũng chưa cho thấy hiệu quả rõ rệt. Điều này thể hiện rõ trong kết quả kinh doanh của SAM không có quá nhiều bứt phá, dù quy mô vốn đã tăng lên đáng kể.
Sau gần 10 năm thay đổi chiến lược, hoạt động kinh doanh của SAM có phần ổn định hơn giai đoạn trước đó, dù chưa thực sự tạo ra dấu ấn. Đặc biệt, lợi nhuận SAM cũng chưa xứng tầm với doanh thu khi chỉ dao động quanh ngưỡng 100 tỷ đồng.
Đồng thuận kết quả kinh doanh kém sắc, giá cổ phiếu SAM có nhiều giai đoạn chỉ ngang bằng "cốc trà đá". Cùng với đà thăng hoa của thị trường chứng khoán trong 2 năm trở lại đây, cổ phiếu này đã trở về mệnh, thậm chí tăng vọt lên gần 25.000 đồng/cp vào đầu năm nay. Tuy nhiên, hiện cổ phiếu SAM chỉ còn quanh mốc 12.900 đồng/cp (chốt phiên 4/8), tương đương với hơn 4.700 tỷ đồng vốn hóa.
Trung Anh
Nguồn: thuongtruong.com.vn


